辽宁高考一分一段表 附位次排名对应大学(2026年参考)
时间:
辽宁 成绩查询
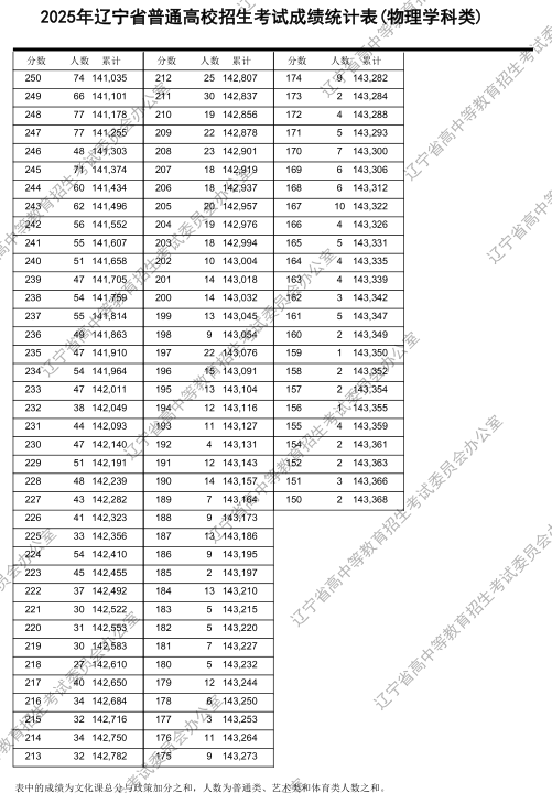
小编整理的2025辽宁高考一分一段表及位次排名对应大学内容,供2026考生参考,主要数据如下:物理科目组合600分以上考生累计达11000余人,历史科目组合600分以上约2500人。一分一段表是以"1分"为单位统计的考生成绩分布表,包含三个关键信息:分数、本段人数(考得该分数的考生人数)和累计人数(该分数及以上分数的总人数)。

辽宁高考一分一段表2025
用一分一段表填志愿,核心是两步:先找到自己分数对应的全省排名,再对比去年心仪学校录取的最低排名。比如物理组考了620分,对应的是第8000名,要是去年某大学录取到6000名,那你今年这个排名就有点悬。
物理类




历史类




辽宁高考位次排名对应大学整理(2026年参考)
物理类
| 学校名 | 批次 | 2025 分数 | 2025 位次 |
|---|---|---|---|
| 北京大学 | 本科批 | 695 | 58 |
| 清华大学 | 本科批 | 688 | 156 |
| 复旦大学 | 本科批 | 685 | 213 |
| 上海交通大学 | 本科批 | 683 | 262 |
| 中国科学院大学 | 本科批 | 679 | 366 |
| 中国科学技术大学 | 本科批 | 678 | 399 |
| 中国人民大学 | 本科批 | 676 | 475 |
| 南京大学 | 本科批 | 676 | 475 |
| 北京大学医学部 | 本科批 | 671 | 696 |
| 上海交通大学医学院 | 本科批 | 670 | 745 |
| 浙江大学 | 本科批 | 665 | 1048 |
| 复旦大学上海医学院 | 本科批 | 664 | 1110 |
| 东南大学 | 本科批 | 663 | 1183 |
| 北京航空航天大学 | 本科批 | 662 | 1253 |
| 电子科技大学 | 本科批 | 661 | 1330 |
| 武汉大学 | 本科批 | 654 | 2000 |
| 南开大学 | 本科批 | 653 | 2108 |
| 同济大学 | 本科批 | 653 | 2108 |
| 浙江大学医学院 | 本科批 | 653 | 2108 |
| 北京师范大学 | 本科批 | 652 | 2228 |
| 北京师范大学(珠海校区) | 本科批 | 652 | 2228 |
| 哈尔滨工业大学(深圳) | 本科批 | 648 | 2729 |
| 中国人民大学(苏州校区) | 本科批 | 643 | 3397 |
| 中国人民解放军国防科技大学 | 本科批 | 643 | 3397 |
| 华中科技大学 | 本科批 | 640 | 3873 |
| 华东政法大学 | 本科批 | 639 | 4039 |
| 天津大学 | 本科批 | 637 | 4398 |
| 西北工业大学 | 本科批 | 635 | 4735 |
| 电子科技大学(沙河校区) | 本科批 | 635 | 4735 |
| 北京理工大学 | 本科批 | 633 | 5103 |
| 华东师范大学 | 本科批 | 633 | 5103 |
| 上海财经大学 | 本科批 | 633 | 5103 |
| 中山大学 | 本科批 | 632 | 5294 |
| 西安交通大学 | 本科批 | 628 | 6080 |
| 四川大学 | 本科批 | 626 | 6487 |
| 哈尔滨工业大学(威海) | 本科批 | 626 | 6487 |
| 山东大学(威海) | 本科批 | 626 | 6487 |
| 上海大学 | 本科批 | 623 | 7175 |
| 南京理工大学 | 本科批 | 623 | 7175 |
| 东北大学 | 本科批 | 621 | 7691 |
| 哈尔滨工业大学 | 本科批 | 621 | 7691 |
| 华南理工大学 | 本科批 | 621 | 7691 |
| 北京科技大学 | 本科批 | 620 | 7935 |
| 湖南大学 | 本科批 | 620 | 7935 |
| 大连理工大学 | 本科批 | 618 | 8439 |
| 上海外国语大学 | 本科批 | 617 | 8681 |
| 苏州大学 | 本科批 | 617 | 8681 |
| 南京邮电大学 | 本科批 | 617 | 8681 |
| 中央财经大学 | 本科批 | 616 | 8928 |
| 中国政法大学 | 本科批 | 615 | 9180 |
历史类
| 学校名 | 批次 | 2025 分数 | 2025 位次 |
|---|---|---|---|
| 清华大学 | 本科批 | 663 | 22 |
| 北京大学 | 本科批 | 662 | 27 |
| 北京大学医学部 | 本科批 | 656 | 52 |
| 复旦大学 | 本科批 | 655 | 61 |
| 中国人民大学 | 本科批 | 651 | 98 |
| 南京大学 | 本科批 | 646 | 157 |
| 上海交通大学 | 本科批 | 645 | 176 |
| 浙江大学 | 本科批 | 644 | 192 |
| 南开大学 | 本科批 | 638 | 321 |
| 武汉大学 | 本科批 | 637 | 340 |
| 北京航空航天大学 | 本科批 | 636 | 371 |
| 同济大学 | 本科批 | 635 | 400 |
| 上海财经大学 | 本科批 | 635 | 400 |
| 北京师范大学(珠海校区) | 本科批 | 635 | 400 |
| 中山大学 | 本科批 | 630 | 539 |
| 北京理工大学 | 本科批 | 629 | 573 |
| 对外经济贸易大学 | 本科批 | 629 | 573 |
| 哈尔滨工业大学 | 本科批 | 628 | 601 |
| 北京师范大学 | 本科批 | 627 | 631 |
| 东南大学 | 本科批 | 625 | 709 |
| 重庆大学 | 本科批 | 624 | 747 |
| 西安交通大学 | 本科批 | 624 | 747 |
| 华东师范大学 | 本科批 | 622 | 824 |
| 中国人民大学(苏州校区) | 本科批 | 622 | 824 |
| 四川大学 | 本科批 | 621 | 872 |
| 中国政法大学 | 本科批 | 618 | 1011 |
| 哈尔滨工业大学(威海) | 本科批 | 617 | 1061 |
| 中央财经大学 | 本科批 | 616 | 1108 |
| 华中科技大学 | 本科批 | 616 | 1108 |
| 北京交通大学 | 本科批 | 615 | 1154 |
| 山东大学 | 本科批 | 615 | 1154 |
| 上海外国语大学 | 本科批 | 613 | 1262 |
| 中南大学 | 本科批 | 613 | 1262 |
| 哈尔滨工业大学(深圳) | 本科批 | 613 | 1262 |
| 南京审计大学 | 本科批 | 612 | 1322 |
| 中国社会科学院大学 | 本科批 | 612 | 1322 |
| 山东大学(威海) | 本科批 | 612 | 1322 |
| 华南理工大学 | 本科批 | 610 | 1438 |
| 电子科技大学 | 本科批 | 610 | 1438 |
| 北京邮电大学 | 本科批 | 609 | 1485 |
| 中国海洋大学 | 本科批 | 609 | 1485 |
| 华东政法大学 | 本科批 | 608 | 1528 |
| 苏州大学 | 本科批 | 608 | 1528 |
| 西北工业大学 | 本科批 | 608 | 1528 |
| 天津大学 | 本科批 | 606 | 1643 |
| 东北大学 | 本科批 | 606 | 1643 |
| 中南财经政法大学 | 本科批 | 606 | 1643 |
| 陕西师范大学 | 本科批 | 606 | 1643 |
| 兰州大学 | 本科批 | 606 | 1643 |
| 北京外国语大学 | 本科批 | 605 | 1699 |
由于篇幅所限,现仅展示2025年辽宁录取位次部分大学及分数线情况。对于2026年排名位次处于相应录取位次范围内的考生,这些院校可作为报考的参考依据。




