2025辽宁一分一段表完整版 高考成绩分布表
时间:
辽宁 成绩查询
2025年由辽宁教育考试院权威发布的成绩分布表,详细记录了每一个分数段的考生人数及累计人数,是志愿填报阶段不可或缺的“定位坐标”。相较于单纯的分数,位次更能反映考生在全市考生中的竞争力,而一分一段表正是获取位次信息的核心依据。

2025辽宁高考一分一段表完整版
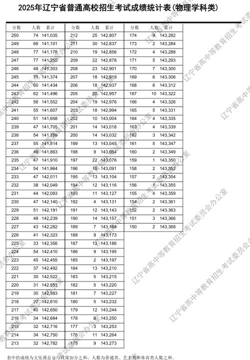
2025辽宁高考物理类一分一段表:




2025辽宁高考历史类一分一段表:




高考位次和排名哪个比较重要
高考位次和排名在高考志愿填报中都具有重要意义,但它们的侧重点和作用有所不同。
位次的重要性:
高考位次是指考生在全省或全市考生中的相对位置,通常以“1分制”表示,每个考生都有唯一的位次。位次能够直观反映考生在全省范围内的竞争力水平,是平行志愿录取的基础依据。
位次比分数更稳定,因为分数受试题难度、评分标准和考试人数的影响较大,而位次则相对固定,能够更准确地反映考生的实际竞争水平。
在志愿填报中,位次比分数更具参考价值。例如,考生可以通过对比目标院校近年来的最低录取位次与自己的位次,判断被录取的可能性。对于热门专业或竞争激烈的高校,即使分数达到录取线,如果位次较低,也可能无法被录取。
排名的作用:
高考排名是指考生在全省或全市考生中的名次,通常用于衡量考生的学术水平和综合能力。排名更多地反映考生在某一学科或整体水平上的表现,但在志愿填报中,排名的作用不如位次显著。排名主要用于高校招生录取的参考,但在某些情况下,排名也能为考生提供一定的指导。




